Kanbis®
Cannabidiol farmacéutico aprobado por la ANMAT
Calidad en todo el proceso
Kanbis® es uno de los primeros medicamentos a base de Cannabidiol aprobado por ANMAT (Administración Nacional de Medicamentos, Alimentos y Tecnología Médica) utilizando como referencia a la especialidad medicinal Epidiolex® autorizada en EEUU por la FDA (Food and Drug Administration) en 2018 y por la EMA (European Medicines Agency) en la Unión Europea en 2019. Actualmente, la FDA también aprobó el uso de Cannabidiol para el tratamiento del complejo de esclerosis tuberosa y expandió su indicación a partir de 1 año
Consistencia lote a lote
Confianza dentro de cada frasco
Kanbis® pasó por el riguroso proceso de aprobación de la ANMAT para garantizar que es constante y estable, con un perfil de seguridad y eficacia que se ha evaluado minuciosamente. Los medicamentos
aprobados por la ANMAT como Kanbis® solamente pueden conseguirse mediante receta médica en la farmacia. La utilización de Cannabidiol de calidad farmacéutica asegura alcanzar el máximo beneficio
terapéutico minimizando el riesgo potencial de efectos indeseables.
La calidad es uno de los aspectos más importantes en el desarrollo y la elaboración de Kanbis®
- Kanbis® es elaborado en una planta farmacéutica con tecnología de última generación, bajo estricto cumplimiento de normas GMP (buenas prácticas de manufactura), cumpliendo con altos estándares de calidad.
- Kanbis® es analizado por profesionales altamente calificados con equipos de última tecnología bajo normas GLP (buenas prácticas de laboratorio), en todas las etapas del proceso productivo.
- Para la elaboración de Kanbis® se garantiza la calidad de las materias primas y del medicamento final lote a lote.
- Kanbis® utiliza materias primas con certificado de buenas prácticas de agricultura y recolección, que aseguran la reproducibilidad y calidad lote a lote de CBD con una pureza mayor al 99%.
- Kanbis® es desarrollado con principios activos de óptima calidad, incluyendo el vehículo que es un aceite de sésamo purificado de calidad farmacéutica.
- Kanbis® cumple con los parámetros de bioseguridad (test microbiológico, de aflatoxinas, metales pesados y pesticidas).
- Kanbis® posee estudios de estabilidad que garantizan la calidad del medicamento durante todo el periodo de vida útil.
- Kanbis® tiene un envase especialmente diseñado para su correcta conservación y a prueba de niños.
- Kanbis® cuenta con “test de simulación de uso” que asegura el mantenimiento de sus características dentro de especificaciones luego de las reiteradas aperturas del envase.
- Kanbis® no contiene azúcares y es libre de gluten.
Diferencias entre los productos que se encuentran en el mercado y Kanbis®
Todos los frascos de Kanbis® tienen los componentes exactos que se enumeran en el envase, lo Existen muchos productos que dicen brindar un beneficio médico, pero no todos son iguales. Los medicamentos aprobados por la ANMAT se someten a un estricto nivel de regulación y pruebas para evaluar si son seguros y eficaces (acción terapéutica comprobable) y asegurar una composición cuantitativa definida, declarada y verificable, de forma farmacéutica estable.
Kanbis® es una especialidad medicinal con Cannabidiol altamente purificado (>99%) aprobada por ANMAT (Agencia regulatoria de Argentina), con garantía de calidad y consistencia lote a lote, disponible en todas las farmacias del país (venta bajo receta médica).
Características generales de Kanbis®
Mecanismo de acción
Cannabidiol posee un mecanismo de acción diferente al resto de los antiepilépticos disponibles, constituyendo el primer fármaco de una nueva clase de medicamentos para el tratamiento de la epilepsia.
Los cannabinoides ejercen sus efectos farmacológicos mediante la activación de los receptores específicos de membrana: CB1 y CB2. Los ligandos endógenos de estos receptores se denominan endocannabinoides. Los dos principales fitocannabinoides (sintetizados de forma natural por la planta de cannabis) biológicamente activos, tetrahidrocannabinol (THC) y Cannabidiol (CBD), han sido extensamente estudiados.
En contraste con el THC, Cannabidiol carece de efectos psicoactivos y su capacidad de inducir abuso es mínima. Cannabidiol posee baja afinidad por los receptores CB1 y CB2, siendo su mecanismo de acción antiepiléptico independiente del sistema endocannabinoide.
Se plantean múltiples mecanismos de acción potenciales que generan reducción de la hiperexcitabilidad neuronal, la fisiopatología de base de la epilepsia. La modulación intracelular del Ca++ por los receptores GPR55 (receptor huérfano acoplado a proteínas G) y TRPV1 (receptor vaniloide de potencial transitorio tipo 1), así como la modulación de vías de señalización mediadas por adenosina mediante la inhibición de la recaptación de adenosina (bloqueo del transportador equilibrador de nucleósidos 1 [ENT-1]), parecen desempeñar un papel importante.
Cannabidiol posee un mecanismo de acción antiepiléptico independiente del sistema endocannabinoide
Cannabidiol otorga beneficios adicionales por su efecto ansiolítico, antidepresivo y regulador del sueño, al actuar sobre los receptores de serotonina 5-HT1A.
Kanbis® es un complemento eficaz en el tratamiento de la epilepsia resistente por su acción en el control de las crisis, efecto neuroprotector y por mejorar la calidad de vida de los pacientes y sus familias.
Evidencia científica
- Dos estudios en SD -> GWPCARE1b y GWPCARE2
- Dos estudios en SLG -> GWPCARE3 y GWPCARE4
Estudios clínicos pivotales Los cuatro ensayos clínicos de fase 3, tuvieron en común las siguientes características:
Todos los frascos de Kanbis® contienen los componentes exactos que figuran en el envase, siguiendo los requerimientos regulatorios establecidos.
Esto asegura el cumplimiento de las especificaciones de calidad para un principio activo y garantiza la consistencia del medicamento en todos los lotes de producción.
- Población: niños > 2 años, adolescentes y adultos hasta 55 años, con SD o SLG.
- En conjunto, se evaluaron los datos de más de 700 pacientes.
- Objetivos: evaluación de eficacia y seguridad de Cannabidiol como adyuvante de FAE convencionales de base, en dosis estable.
- Eficacia primaria: reducción porcentual en la frecuencia mensual de un tipo de crisis específica para cada encefalopatía epiléptica del desarrollo (EED), comparando el período de tratamiento con el basal
- Crisis convulsivas en el SD.
- Crisis de caída en el SLG.
- Determinar la seguridad y tolerabilidad del fármaco
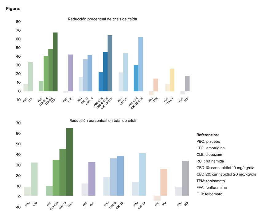
Resultados de eficacia
En los estudios con pacientes con SD:
- En conjunto, la adición de Cannabidiol mostró reducciones significativamente mayores en la frecuencia mediana de crisis convulsivas por mes (38-48%), en comparación con placebo (13-26%). La diferencia entre los grupos con Cannabidiol o placebo alcanzó significación estadística.
- La tasa de respondedores (pacientes con reducción ≥ 50% de las crisis convulsivas) también fue significativamente mayor con Cannabidiol.
- Los pacientes que recibieron Cannabidiol alcanzaron además diferencia significativa en la reducción del total de crisis de todos los tipos, comparados con el grupo placebo.
- Cabe destacar que el 5% de los pacientes tratados con Cannabidiol alcanzaron el 100% de reducción de las crisis convulsivas versus 0% con placebo
- La eficacia de Cannabidiol fue mayor en el subgrupo que recibió clobazam en forma concomitante.
En los estudios con pacientes con SLG:
- En uso de Cannabidiol se asoció con mejoría estadísticamente significativa y clínicamente trascendente de la frecuencia mediana de crisis de caída por mes (37-44%) en comparación con placebo (17-21%), así como con tasa significativamente mayor de respondedores.
- Además, en ambos estudios resultó significativa la reducción de crisis distintas a las de caída y en total, entre los pacientes que recibieron Cannabidiol versus placebo.
- En el estudio GWPCARE3, los pacientes estaban severamente afectados al inicio: presentaban una mediana de 80 crisis de caída y 160 crisis en total, por mes. El odds ratio (OR) para reducción ≥75% en la frecuencia de crisis de caída frente a placebo fue 12,33 (p < 0.001) y 4,55 (p=0 .03) con Cannabidiol 20 mg/kg/día y 10 mg/kg/día, respectivamente.
Considerando el impacto de este tipo de epilepsias en la calidad de vida de los pacientes y sus familiares/cuidadores, se evaluó la escala Subject/Caregiver Global Impression of Change (S/CGIC) en la última visita de los estudios. El porcentaje de pacientes o cuidadores que informaron mejoría en la escala S/CGIC fue mayor en los grupos con Cannabidiol que con placebo.
No solamente se evidenció una mejoría significativa en el control de las crisis si no también una modificación muy importante en la calidad de vida de los pacientes y sus familiares.
Haga clik sobre las imagenes para ampliarlas
Puede acceder a más información respecto a la eficacia de Cannabidiol en la monografía de Kanbis®
Resultados de de seguridad
- En general, la solución oral de Cannabidiol fue bien tolerada.
- Los eventos adversos (EA) fueron más frecuentes en los pacientes que recibieron Cannabidiol (84-93%), pero también fueron frecuentes con placebo (69%-89).
- La mayoría de los EA fueron de intensidad leve o moderada, y transitorios.
- Los EA más frecuentes (> 10% de los pacientes) incluyeron:
- Somnolencia
- Disminución del apetito
- Eventos gastrointestinales
- Diarrea
- Vómitos
- Pirexia
- Fatiga
- La somnolencia y la sedación fueron más frecuentes con el uso concomitante de clobazam y Cannabidiol.
- La elevación de las transaminasas fue más frecuente en los pacientes que recibían valproato concomitantemente (17%) o valproato y clobazam (23%), y mostró dependencia con la dosis de Cannabidiol.
- La causa más frecuente de discontinuación del tratamiento fue el aumento de las enzimas hepáticas.
- Los EA más frecuentes (> 10% de los pacientes) incluyeron:
Estudio de extensión con tratamiento abierto
Al término del tratamiento en los cuatro estudios de fase 3, un total de 264 pacientes con SD y 366 pacientes con SLG continuaron en un estudio de extensión abierto (GWPCARE5) para evaluar la eficacia y la tolerabilidad de Cannabidiol a largo plazo.
En conjunto, los hallazgos de este estudio confirman que Cannabidiol posee un perfil de seguridad aceptable a largo plazo y que permitió alcanzar reducciones clínicamente relevantes en la frecuencia de las crisis, que se mantienen en el tiempo.
Luego de 48 semanas de tratamiento se evidenciaron los siguientes resultados:
Uso en la práctica clínica
La somnolencia y la diarrea fueron los EA más frecuentes. Los datos confirman que Cannabidiol tiene un perfil de seguridad aceptable y eficacia sostenida durante el tratamiento a largo plazo de los pacientes con epilepsia refractaria.
Datos del seguimiento de Cannabidiol en el escenario del mundo real en niños y adultos con SD y SLG indican que la combinación con este medicamento redujo las crisis mensuales en un 50% demostrando eficacia sostenida a lo largo del tiempo.
El Instituto Nacional de Salud y Excelencia Clínica del Reino Unido (NICE) recientemente publicó una guía sobre el uso de cannabis medicinal en el tratamiento de la epilepsia, donde recomiendan Cannabidiol como adyuvante en el tratamiento de las crisis asociadas con el síndrome de Lennox-Gastaut o el síndrome de Dravet para pacientes ≥ 2 años.
Posología de Kanbis®
Kanbis® debe ser administrado por vía oral. Se debe administrar de forma constante con o sin alimentos, incluida la dieta cetogénica, debido al efecto de los alimentos sobre los niveles de Cannabidiol.
- Dosis inicial recomendada: 2.5 mg/kg, dos veces por día (5 mg/kg/día), durante una semana.
- Dosis de mantenimiento: 5 mg/kg, dos veces por día (10 mg/kg/día).
- Dosis máxima recomendada: 10 mg/kg, dos veces por día (20 mg/kg/día). Alcanzada con incremento semanal de 2.5 mg/kg, dos veces por día (5 mg/kg/día), siempre según balance riesgo-beneficio.
Haga clic para ampliar las imágenes.
Para poder calcular la dosis adecuada para su paciente, puede utilizar el calculador de dosis de Kanbis®
Para calcular la dosis en poblaciones especiales
- Personas con edad mayor a 65 años: no se han establecido la seguridad ni la eficacia de Cannabidiol en pacientes con edad de 65 años o más.
- Pacientes con insuficiencia renal: no se requiere ajuste de dosis de Cannabidiol en insuficiencia renal leve, moderada ni grave. No hay datos respecto a los pacientes con insuficiencia renal terminal. Se desconoce si Cannabidiol es dializable.
- Pacientes con insuficiencia hepática: no se requiere ajustar la dosis de Cannabidiol en insuficiencia hepática leve (Child-Pugh A). Se recomienda ajustar la dosis en caso de insuficiencia hepática moderada (Child-Pugh B) o grave (Child-Pugh C). Puede ser necesario el incremento de dosis más lento en pacientes con insuficiencia hepática moderada o grave que en pacientes sin insuficiencia hepática
- La solución oral de Kanbis® contiene 100 mg de Cannabidiol cada 1 mililitro.
- Un mililitro de Kanbis® equivale a 20 gotas, por lo que cada gota contiene 5 mg de Cannabidiol.
Evaluaciones a realizar antes de iniciar tratamiento con Kanbis®
Debido al riesgo de daño hepatocelular, controlar las transaminasas séricas (ALT y AST) y los niveles de bilirrubina total en todos los pacientes antes de comenzar el tratamiento con Kanbis®.
Legislación Argentina sobre el cannabis medicinal
La Ley 27.350 “Uso Medicinal de la Planta de Cannabis y sus Derivados” sancionada en marzo de 2017, y sus recientes normas complementarias, el Decreto Reglamentario 883/2020 y la Resolución 654/2021, tienen por objeto “establecer un marco regulatorio para la investigación médica y científica del uso medicinal, terapéutico y/o paliativo de la planta Cannabis y sus derivados, garantizando y promoviendo el cuidado integral de la salud”.
El Decreto Reglamentario manifiesta en el artículo 7° que “Los y las pacientes que tuvieren indicación médica para el uso de la planta de Cannabis y sus derivados podrán adquirir especialidades medicinales elaboradas en el país, importar especialidades medicinales debidamente registradas por la autoridad sanitaria o adquirir formulaciones magistrales elaboradas por farmacias autorizadas u otras presentaciones que en el futuro se establezcan”. Adicionalmente, aclara que “Aquellas personas que, además, no posean cobertura de salud y obra social, tienen derecho a acceder en forma gratuita, conforme la presente Reglamentación”.
En 2017, la ANMAT publicó un Informe ultrarrápido de evaluación de tecnología sanitaria relativo a cannabinoides y epilepsia. Dicho Informe se basó en una revisión sistemática de la literatura disponible a la fecha y concluyó con la fuerte recomendación a favor del uso de Cannabidiol en el síndrome de Dravet, utilizando formulaciones manufacturadas con garantía de calidad.
Como expresa el mismo Informe: “La relativa facilidad en la obtención del aceite artesanal, en ningún caso debe hacer suponer que su elaboración sin control pueda asegurar la provisión adecuada del principio activo CBD a la población.
Los riesgos incluyen: la imposibilidad técnica de asegurar manufactura apropiada, composición precisa y dosis entregada, tipo de cultivo adecuado y previsible de la planta, ausencia de contaminantes y otras tantas variables aleatorias, que atentan contra cualquier intento terapéutico que pueda considerarse eficaz y seguro.”